1.概述
RT6204是易于使用的、输入输出电压范围都很宽的Buck转换器,可在5.2V-60V输入下输出0.8V-50V可调的电压,负载能力最高达0.5A。本文的第2章将对RT6204在应用中的元器件选择和设计中的思考重点进行一个鸟瞰,然后在接下来的第3、4、5和6章中针对特定的输入、输出条件介绍设计的方法,这些案例的输出电压范围从1.2V扩展到24V,覆盖了从MCU供电到工业现场供电的各种应用范围。
RT6204的常规应用电路如图1所示,它是一个电流模式的转换器,补偿电路外置,软启动外部可调,集成了上桥MOSFET开关和下桥同步整流开关,输出电压可通过简单的电阻分压器进行设定。由于使用外置的补偿电路,电流模式控制架构的RT6204在应用中的特性可以进行非常灵活的调节,可以适应各种输出电容类型,低ESR的陶瓷电容和铝电解电容都可以被拿来使用,给予设计者的自由非常大,他们可以根据自己的喜好选择最具有成本效益的器件去满足应用的需要。

图1
下面的规则可被利用来计算电路中的各种元件参数:
· 输入、输出电压的计算和考虑:
RT6204的输出电压可通过R1和R2在0.8V-50V之间进行调整:
反馈网络的阻抗不是很重要,但最好不要取太高的阻值,那样会使转换器比较容易受到噪声的影响。一般的建议是把R2的值设定在10kΩ - 30kΩ之间。
RT6204的最短导通时间为90ns,它在连续导通模式(CCM)下的最小占空比为90ns*350kHz = 3.15%,当转换器运行到触及最短导通时间的时候会对输出纹波和过流保护的表现造成影响,相关的解释请看第3章。
如果RT6204运行至占空比高于65%的状况时,通过D1施加的外部自举电源就应该被加上,这个外部电源的电压建议处于3.3V-3.8V之间。如果其电压低于3.5V,二极管的类型就最好是肖特基的。
· 电感L1的值的取得有两个方面的因素需要考虑:电感电流纹波和斜率补偿。
对于占空比低于50%的应用,电感量的计算需要使电感电流纹波低于IC的0.5A额定电流负载能力的30%,即ΔIL = 150mA,其计算公式为
。
· 在占空比会高于50%的应用中,电感电流的下降速度dI/dt就需要和转换器的内部斜率补偿相适应,这样就要求L1要满足这个公式:
。
· 在输出电容的选择上有多个考虑点:
a. CCM模式下的输出电压纹波
CCM模式下的输出电压纹波计算公式为
,此时的电感电流纹波的计算公式为
。
假如输出电压很低,输出电容为陶瓷电容,CCM模式下的输出电压纹波会很小。
b. PSM模式下的输出电压纹波
PSM模式下的输出电压纹波的大小取决于该模式下的电流峰值的大小和负载电流的大小,最坏的情况发生在负载为零时,其值在此时为
。
RT6204把PSM模式下的电感电流峰值设定在大约150mA上,但它还同时存在大约 80ns的动作滞后,所以在VIN很高、VOUT很低时电流的实际峰值会增加。实际上,PSM模式下的输出电压纹波总是大于CCM模式下的纹波。
c. 负载瞬变期间的电压波动
CCM模式下负载瞬变期间的输出电压波动的幅度取决于负载跳变的幅度、控制回路的响应速度和输出电压的大小,下面的公式可对负载跳变期间的输出电压下沉幅度进行预估:

其中,ΔISTEP是负载跳变的幅度,FBW是转换器的带宽。假如负载跳变是从PSM模式开始并将转换器引入CCM模式,输出电压的下沉幅度会更大。转换器的带宽通常设定为开关工作频率的1/10左右,如果使用了电解电容作为输出电容,其ESR随温度的变化范围会很大,这时就需要更低的转换器带宽设定,以便转换器的工作可以在整个工作温度范围内都能保持稳定。转换器的带宽可以通过补偿电阻RCOMP进行设定。
· 输入电容
输入电容对转换器的开关过程形成的高频电流的幅度具有决定性的作用,它需要具有足够好的滤波效果将出现在输入端的高频纹波最小化,这个角色通常由陶瓷电容来担当,它被放置在紧靠转换器的VIN和GND端子的地方。在高输入电压的情形下,陶瓷电容的容量会有明显的下降,这是需要在计算输入电压纹波时就要考虑到的。输入电压纹波的峰峰值可以用下式进行评估:
,其中的CIN是输入电容在相应输入电压下的有效值。
通常情况下,输入电容的容量至少应有1µF,额定耐压能力为100V,这可能需要使用0805或1206的封装。
选择输入电容要考虑的另一个数据是流过它的纹波电流有效值:

此有效值的最大值出现在输出电压VOUT为输入电压VIN的50%时。
RT6204的最大负载电流为0.5A,输入电容上的纹波电流的有效值最大为0.25A,这个值对0805或1206封装的陶瓷电容来说都算不上什么问题,因为它对此并不敏感。
假如转换器被使用在需要进行热插拔的应用中,那就建议给陶瓷电容并联上一只小型的电解电容。
· 补偿元件参数的计算
RT6204的补偿可以使用标准的电流模式II型补偿电路,下面的公式可以用于相关参数的计算。
补偿电路的增益可以用RCOMP进行设定,其值需要提供适当的转换器交叉频率(FC,大约为0.1 * FSW)和足够的相位裕量:
。
假如输出电容是电解类型的,那就需要低一些的带宽,这个部分见第5章的讨论。
对补偿电容CCOMP的值的选取需要将补偿零点
放置在比转换器的负载极点
略低的地方,其中的RLOAD =VOUT / 0.5A。
CP的值的选择应将高频极点放在输出电容的ESR导致的零点上,所以
。
当输出电容为陶瓷电容时,由其ESR决定的零点将处于极高的频率上,远远高于转换器的工作频率。所以,对于采用陶瓷输出电容的低输出电压应用来说,CP可以被省略掉。
前馈电容Cff通常并不需要,它的作用是改善控制回路的响应特性。有些时候一个小的Cff电容可以被用来改善PSM模式的工作状况,通过对出现在FB端子上的额外纹波的抑制达到减少双脉冲现象的效果,这可以通过在具体的案例中进行有针对性的调整来实现。
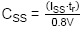
· 从EN端子变成高电平到VOUT达到其设定电压的时间可以通过软起动电容CSS的设定以确定软起动时间tSS来实现,其计算方法是
,其中的CSS是软起动电容的值,Iss是软起动电流(典型值为6µA)。VOUT从VSS上升到0.3V时开始随其上升而上升,VSS的终点是1.1V。
VOUT的上升时间可以这样计算:
。
高输出电压的应用和/或输出电容很大的场合应当使用足够长的软起动时间,这样可以避免较高的冲击电流的出现。
· 通过将EN端设为高电平可以使能RT6204,判断其为高电平的典型电压值是1.25V。EN端子有1µA的拉电流。为了在VIN加入时自动启动,可用一只100k的上拉电阻将EN端和VIN连接起来。EN端可以承受60V的电压。
3.案例1:1.2V输出
案例1的目标是设计一款在宽输入电压范围内工作的1.2V输出的转换器。
· 最高输入电压:基于最短导通时间和1.2V输出电压可以推导出的最高输入电压是1.2V/3.15% = 38V。在此1.2V的案例中,我们将探讨最短导通时间是如何影响输出纹波和过流保护特性的。
· 反馈网络:利用公式
可以进行R1和R2的选择。在此案例中,选择R1=7.5k、R2=15k可以得到1.2V输出。
· 电感量:对于1.2V的应用来说,占空比绝对不会达到50%,所以斜率补偿不会成为这个案例中需要考虑的问题,电感量的计算可以单纯地用纹波电流作为计算依据。
在VIN = 38V、纹波电流为0.3*0.5A = 0.15A的条件下,利用公式
可得L = 22.1µH。
在最大负载为0.5A时,电感电流峰值为(1+0.15)*0.5A = 0.575A。通常情况下,电感的饱和电流参数应当比最高电流峰值至少大10%。所以,电感的Isat指标应当大于0.63A。为此,我们选择的电感样本是Taiyo-Yuden的 NR6020T 22µH,它具有1A的Isat参数。
· 为了选择输出电容,我们使用PSM模式下的纹波作为选择的依据。
首先对PSM模式下的电流峰值进行评估:在VIN = 38V、VOUT = 1.2V、 L = 22µH的条件下,电感电流的上升斜率为(38V-1.2V)/22µH=1.67A/µs,80ns的延时会带来0.133A的电流增量。所以,PSM模式下的电流峰值大约为280mA。因为输出为1.2V,我们使用低ESR的陶瓷电容作为输出电容,这种电容的ESR几乎可以被忽略,所以输出电压的纹波计算公式就可以被简化为
。
以50mVpp作为最坏情况下的PSM纹波目标,电容的值需为15.7µF。在此案例里,我们选择Murata的两只10µF/16V 0805 X5R MLCC作为输出电容,其型号为GRM21BR61C106KE,这种电容在1.2V直流偏置下的容量下降幅度非常低,完全可以被忽略,但其额定容量是在0.5Vrms交流电压下测量得到的,如果交流电压降低,其容量还会降低,它在这种低输出电压纹波的应用中的电容量将会有大约27%的下降(欲了解更多的MLCC电容属性,请参阅此网址:http://ds.murata.com/software/simsurfing/en-us/)。我们最后得到的输出电容总量是大约15µF,它将被用于后续的计算中。
对PSM模式下的输出电压纹波的测量结果显示在图2中,电路的参数条件为L1 = 22µH、COUT_eff = 15µF。
|
VIN = 38V, VOUT = 1.2V,负载电流为1mA
|
15µF电容带来的PSM纹波为46mVpp
|
|

|

|
图 2
高输入电压下的最小导通时间的效应显示在图3中,其工作条件为VOUT = 1.2V、负载电流0.28A。
|
VIN = 38V:刚好是纯PWM模式,没有脉冲跳跃。
|
VIN = 42V:触及最短导通时间限制,出现脉冲跳跃。
|
|

|

|
图3
当高输入、低输出的应用中触及最短导通时间限制时,转换器开始脉冲跳跃以维持输出电压的稳定,这种跳跃将导致输出纹波增大的结果。
· 在输入电容的选型中,容许的最大输入纹波需求必须被考虑到,它们还必须具有足够的电压耐受等级。对于40V输入的应用,要求输入电容具有至少60V的电压耐受能力是必要的,这就常常意味着要选用额定耐压为100V的陶瓷电容。
根据公式
和0.5A的负载电流、38V输入、1.2V输出及1µF的输入电容等数据,输入电压的纹波大约为44mV,需要注意的是此数据中不包含由于电容的ESL和铜箔的ESL所导致的高频振铃信号的信息。
在此案例中,我们使用一只小型的100nF/100V 0603 X7R电容(Murata GRM188R72A104KA35)与一只2.2µF/100V 1206 X7R电容(Murata GRM31CR72A225KA73)并联作为输入电容,它们在38V直流电压下的等效电容约为1.1µF。
|
|
图4显示的是测量出来的输入电压纹波,测量条件是38V输入、0.5A输出。
纹波电压看起来是锯齿波的样子,幅度为55mVpp,其中含有明显的高频噪声成分,它们是由伴生的ESL造成的。为了避免这些高频噪声进入电源输入线路,最好是增加由高频磁珠和外加的电容构成的滤波器把它们滤除掉。
在此案例中的输入电容纹波电流的最坏状况发生在输入电压最低的地方(5.2V),其值大概为0.2A,这对所选的输入电容来说不是个问题。
|
|
图4
|
|
· 补偿元件参数的计算
关于补偿元件参数的计算,我们将使用第2章给出来的公式,计算中使用的输出电容数据采用有效值COUT_eff = 15µF。
,由于 GmEA=970µA/V,GCS=0.9A/V , COUT_eff =15µF,所以有RCOMP = 5.7kΩ,我们取RCOMP = 5.6kΩ。
转换器的负载极点位于
,其值为4.4kHz,所以有
,我们取值CCOMP = 6.8nF。
所有陶瓷输出电容合成起来的ESR = 2.5mΩ,由其形成的ESR零点位于4.2MHz,CP可以省略不用。
转换器的稳定性可以通过施加快速跳变的阶跃负载来进行检测,其结果见图5。
|
|
24V输入下的转换器在面对快速阶跃负载时的表现是稳定的,没有振铃过程出现。由250mA快速负载阶跃导致的电压下坠幅度为74mV。
|
|
图5
|
|
· 软起动电容CSS可以设定从EN变为高电平到VOUT到达其设定电压的时间TSS,其计算公式为
,其中的ISS为软启动电流,典型值为6µA。
对于1.2V的输出和相对较小的输出电容,冲击电流不会太大。设CSS = 10nF即可给出1.83ms的软起动时间,VOUT的上升时间为1.3ms。
|

|
图6显示了软起动的表现状况:当EN变成高电平以后,软起动电压开始上升,转换器在软起动电压上升到0.3V时开始开关切换过程使VOUT上升,开关切换的频率会随着VOUT的上升而增加。当软启动电压上升至1.1V时,转换器的输出电压也到达其额定值。
|
|
图6
|
|
· 过流保护的表现
RT6204通过对上桥MOSFET流过的电流的检测进行逐周期峰值电流的限制,当转换器的负载增加到一定程度时,峰值电流限制就会发生,保护电路将降低上桥MOSFET开关的导通时间以避免电流的进一步上升。
|

|
图7显示了VIN = 20V时的电流限制测量波形:当电感电流达到950mA时,占空比减小,VOUT开始下降。在20V转1.2V的应用中,过流保护发生时的实际电流值要比规格书中列出来的过流保护阈值略高,这是因为电流保护限制被触及到动作过程之间会有一个延时。因为电流的变化速度为(20V-1.2V)/22µH = 0.85A/µs,80ns的延时会导致电流多增加0.068A。
当VOUT下降至输出欠压保护阈值(输出电压设定值的50%)时,转换器关机,然后自动重新开始一次启动过程。
|
|
图7
|
|
当RT6204工作于高输入电压、低输出电压的环境下,同时又遇到过流状况时,重要的事情是要确保转换器的最短导通时间特性不会妨碍过流保护的正常操作。在同时出现最短导通时间工作和过载状况时,转换器工作的占空比是最低的,输出电压就维持在由占空比所决定的输出电压上,这时由过载导致的电感电流就不能受到适当的控制而主要取决于负载的状况,只有电流足够大到由MOSFET和电感元件造成的电压降使得输出电压低于设定电压的50%时才会触发输出欠压保护动作。
|

图8
|
图8显示的是输入电压为40V时的电流限制状况:由于时延的缘故,过流保护的动作发生在电流为1.1A时,转换器一直在尝试降低占空比,但它却被限制在接近最短导通时间的地方。此时的输出电压不能往下降,它被卡在大约830mV的地方不能动弹,因而欠压保护的阈值就不能被触及,转换器就一直工作在这种过载的状态下。
假如转换器的负载再继续增加,电感电流就能继续增加并可能超过过流保护的阈值,这时候输出电压就可能因MOSFET的Rdson和电感的DCR造成的压降的增加而下降,这样就可能触发输出欠压保护动作。
|
|
|
所以,当RT6204工作在高输入电压、低输出电压和存在过载在可能的条件下时,最重要的就是要检查最短导通时间所带来的限制。
完整的1.2V输出的应用电路图显示在图9中。

图9
4.案例2:5V输出
第二个案例的输出电压是5V,输入仍然是一个很宽的范围
· 在此案例中的最高输入电压决定于RT6206的最高输入电压,其值为60V,此条件下的占空比为5/60 = 8.3%,这要比RT6204的最小占空比3.15%大很多。假如输入电压可能低於7.5V,占空比就会大于65%,因此需要将外部自举二极管及其所属的电路加上去。
· 反馈网络:根据
可对R1和R2进行选择,我们选R1 = 43k、R2 = 8.2k可得到4.995V的输出电压。
· 电感量:对于5V的输出,当VIN低于10V时占空比就会超过50%,这样的应用需要进行斜率补偿,它需要有电感最小值的限制。根据
的斜率补偿标准,电感量必须大于83µH。
根据在60V输入下要有30%的电流纹波的限制,可由公式
得到 L = 87.3µH,我们选择100µH。在实际的验证中,我们选择Wuerth Electronic 的型号为744066101的100µH屏蔽电感,它具有1.2A的饱和电流参数和0.255Ω的直流电阻。
· 对于输出电容的选择,我们使用PSM工作模式下的纹波作为选择的依据。
首先对PSM模式下的电流纹波进行估算:在VIN = 60V、 VOUT = 5V、 L = 100µH的条件下,电感电流的上升速度为(60V-5V)/100µH = 0.55A/µs,再加上80ns的延时导致的电流增量0.044A,PSM模式下的电流纹波峰值大约为194mA。在低输入电压下,由延时导致的电流增量很小,在PSM模式下的电流纹波峰值就可以直接使用150mA的值。又由于输出电压只有5V,我们将使用低ESR的陶瓷电容作为输出电容,由电容的ESR造成的纹波几乎可以被忽略。所以,我们得到PSM模式下的输出电压纹波计算公式为
。
在60V输入电压下,要保证50mVpp的PSM模式下的输出电压纹波需要的电容大约为9µF。所以,我们选择两只10µF/25V X5R 1206的MLCC作为输出电容,它们在5V直流偏置和很低的交流纹波下的有效电容量分别大约为6µF,合成起来的总电容大约为12µF,这将成为我们后续计算的依据。经过计算得知,12µF电容在60V输入下的PSM工作模式下的输出电压纹波大约为37mVpp。
|

|
图10显示了这个使用了12µF有效值的输出电容的5V输出的转换器在60V输入、零负载条件下以PSM模式工作时的表现,39mVpp的输出电压纹波峰峰值和电感电流的峰值都与计算结果很相符。
|
|
图10
|
|
· 关于输入电容的选择,容许的输入端纹波和电容的电压耐受能力都必须被考虑到。对于60V的应用来说,电容必须具有至少90V的电压耐受能力,这也就意味着需要使用100V耐压的陶瓷电容作为输入电容。
根据公式
和负载电流为0.5A的条件,在60V输入和5V输出的情况下,1µF的输入电容将给出110mV左右的输入纹波,需要注意的是这其中不包含由电容的ESL和铜箔布线带来的ESL所导致的振铃信号的数据。
在此案例中,我们使用一只小型的100nF/100V 0603 X7R电容(Murata GRM188R72A104KA35)和两只在60V电压偏置下的有效容量为0.7µF的2.2µF/100V 1206 X7R电容(Murata GRM31CR72A225KA73)并联在一起作为输入电容,合成以后的电容量为1.5µF,可给出78mVpp输入电压纹波峰峰值,工作条件为60V输入和0.5A输出。
输入纹波电流的最坏情况出现在输入电压为10V时,在负载为0.5A时,其值为0.25A,这对所选的输入电容来说不是问题。
|

|
图11显示了实际的输入纹波测试结果,它显示为79mV的锯齿形纹波。附加在波形上的高频噪声是由寄生的电感引起的。
|
|
图11
|
|
|
|
|
· 补偿元件参数的计算
要计算补偿元件的参数,我们使用第2章给出来的公式,计算中使用的输出电容为COUT_eff = 12µF。
由公式
,根据GmEA = 970µA/V、GCS = 0.9A/V 和 COUT_eff = 12µF,可得 RCOMP = 19kΩ,我们选择18kΩ。
转换器的负载极点
位于1.3kHz,由此算得
。
输出电容的ESR合成起来是2.5mΩ,这使得其ESR零点位于5.3MHz,由此计算出的CP为1.6pF,但在具有较高占空比的输出电压较高的应用中最好是使用较大的CP,所以规格书建议将其设为47pF,这样形成的补偿极点位于188kHz处,这就使得此转换器在较高的占空比应用中也比较稳定,即使其相位裕量在整个范围内都比较低也没关系。
|

|
图12显示的是输出电压在面对从200mA到420mA的快速跳变时的响应状况,转换器工作在CCM模式下,输入电压为50V。
响应是没有振荡过程的稳定状态,220mA负载跳变带来的电压下坠幅度是90mV。
|
|
图12
|
|
· 由于5V的输出再结合相对很小的输出电容,本案中的冲击电流不会让人头疼。像1.2V输出的案例那样,10nF的软起动电容可以被拿来使用,这将由公式
给出1.83ms的启动时间,输出电压由0上升到5V的时间将为1.3ms。
· 外部自举电容的充电电路
假如转换器的输入电压会低于7.5V,外部自举电源的加入就是必要的。自举电源的最佳电压是3.3V左右,更高的电压如5V将导致较高的上桥MOSFET驱动能力,这会引入噪声,并在某些情况下形成不稳定的开关切换过程。3.3V的自举电源可以通过一只齐纳二极管从5V的输出取得 。自举电路所需要的平均电流是很低的,最大值约为1mA,但流过二极管D1的峰值电流约为40mA,一只小的缓冲电容可以用于此电流的供应。
参见图13,使用了齐纳二极管的外加自举电源显示在其中。

图13
为了最小化此电路的功耗,流过齐纳二极管的电流要保持在低位,大约为1mA。为了补偿齐纳二极管的转折电压在小电流下的损失,一只具有更高电压的二极管被选中,是Vishay 的BZX384C3V9。通过使用一只680Ω的电阻,在输出电压为5V、自举电路的充电电流为1mA的情况下,流过齐纳二极管的电流大约为1.5mA,其钳位电压约为3.5V。R3上的总功耗为 (2.5mA)2 * 680Ω = 4.25mW,所以用一只小尺寸的SMD电阻即可满足需要。47nF的电容可为流过D1的40mA电流提供足够的平滑作用。
当转换器进入最大占空比的直通模式时,输出电压VOUT将会降低,外部自举电源也会下降到大约3.2V左右,这样还是能提供足够的电源供应。
图14显示的是带有最大负载的转换器在输入电压降低以后的表现。一个转换器的最大占空比决定于它的最短截止时间,RT6204的这个数据为200ns,所以其最大占空比为93%。转换器进入最大占空比状态的输入电压在很大程度上取决于负载电流,因为由MOSFET开关导致的I*Rdson压降和电感导致的I*DCR压降需要被考虑进去,它们在0.5A负载下的压降大约为0.45V,因而其进入直通状态的开始电压为5V/0.93 + 0.45V = 5.82V。
|
VIN = 10V,VOUT = 5V:
占空比为50%
|
VIN = 6V,VOUT = 5V:
接近最大占空比
|
VIN = 5V, VOUT = 4V:
工作在最大占空比的直通状态
|
|

|

|

|
图14
最后形成的5V输出应用电路图见图15。

图15
5.案例3:12V输出
第3个案例的输出电压是12V,输入电压范围仍然很宽。
· 针对12V输出的转换器的最高输入电压与5V输出的情况相同,都是由RT6204的最高输入电压能力所决定的60V。当输入电压低于18.5V的时候,占空比高于65%,所以给自举电路增加外部充电电源是必要的。
· 反馈网络:利用公式
可以确定R1和R2,我们选择R1 = 140k、 R2 = 10k,这和规格书中给的数据一样。
· 电感量:对于12V的输出,VIN小于24V时占空比就大于50%,所以需要有最小的电感量限制与斜率补偿相适应。依据斜率补偿的标准,
,要求电感量要大于200µH。
基于30%电感电流纹波的要求,60V输入下根据公式
计算得到的电感量为L = 183µH,所以我们选择220µH。在实际中我们选用了Bourns公司的型号为 SRU1048A-221Y的屏蔽电感,它具有0.7A的饱和电流值,直流电阻为0.455Ω。
· 输出电容的选型:对于12V的应用,选择陶瓷电容或电解电容作为输出电容都是可行的。
陶瓷电容在12V电压下会有明显的容量下降,将不得不使用大型的封装或是选择多只电容并联来形成超过10µF的容量。例如,型号为GRM31CR61E106KA12L的陶瓷电容的规格为10µF/25V X5R 1206封装,它在12V直流电压和低纹波情况下的容量只有大约2.9µF,两只并联也才5.8µF。
小型SMD封装的铝电解电容如Panasonic VFK系列,47µF、35V、6.3mmX5.8mm的规格,它所具有的ESR为0.36Ω,可以承担的纹波电流有效值为240mA。
根据所用电容类型的不同,我们可以对转换器工作在PSM模式和CCM模式下的输出纹波分别进行计算。
PSM模式下的电感电流纹波的计算方法与5V输出案例中的方法相同,它在60V转12V情形下的值大约为165mA(电感量为220µH)。如果是在CCM模式下,电感电流纹波的数据大约为124mApp。
考虑电容ESR后的输出电压纹波计算公式如下:
;

在PSM模式下,60V输入、输出电容为5.8µF MLCC情形下的输出电压纹波约为55mVpp。同样条件下的CCM模式工作所产生的输出电压纹波大约为8mVpp。
改用0.36Ω ESR的47µF电解电容作为输出电容后,PSM工作模式下的输出电压纹波约为59mVpp,CCM工作模式下的输出电压纹波约为46mVpp。
从这些数据可以看出,PSM工作模式下的输出电压纹波的幅度在使用两种不同电容的情况下是很接近的,但是MLCC电容在CCM模式下的纹波就很小。可是,如果在输入电压很低的情况下重新进行计算,我们将发现在使用电解电容的情况下由PSM工作模式所带来的纹波会比在使用MLCC电容的情况下小。
对于这个12V的应用,我们最后的决定是采用47µF/35V 6.3mmX5.8mm的电解电容,它的ESR为 0.36Ω。
图16显示的是使用了电解电容以后的转换器在PSM模式下和CCM模式下工作时的输出电压纹波测试结果。
|
PSM模式下12V输出上的电压纹波测试结果:
46mVpp,电容为电解类型。
|
CCM模式下12V输出上的电压纹波测试结果:
32mVpp,电容为电解类型。
|
|

|

|
图16
需要注意的是电解电容的ESR与温度有很强的相关性,它在低温下会变得很大。如果所设计的电路要在较低的温度下工作,这种效应就必须被考虑到。
强列建议给电解电容并联一个小型的100nF/50V陶瓷电容,由于它具有很低的ESR,它对开关过程造成的高频尖峰信号有很好的滤除效果,但对纹波信号的幅度和转换器的稳定性不会有任何作用。
· 对于输入电容,我们将使用5V输出的案例中的选择结果,由一只100nF/100V 0603 X7R 电容 (Murata GRM188R72A104KA35)和两只2.2µF/100V 1206 X7R 电容 (Murata GRM31CR72A225KA73)并联将给出1.5µF的结果。
根据公式
,在负载电流为0.5A、输入电压为60V、输入电容为1.5µF的情况下,输入电压的纹波为152mVpp。
出现在输入电容上的电流纹波的有效值为最大的条件是VIN =24V和负载电流为0.5A,其值为0.25A,这对所选的输入电容来说不是问题。
|

|
图7显示了实际的转换器输入端的纹波测试情况,它是幅度为142mV的锯齿波,附加其上的高频噪声是由于伴生电感的存在而有的。
|
|
图17
|
|
· 补偿元件参数的计算
补偿元件参数的计算公式在第2章已列出,计算中采用的输出电容参数为COUT = 47µF,其ESR = 0.36Ω,我们将首先使用标准的带宽数据设定:0.1*FSW。
根据公式
,还有这些参数:GmEA = 970µA/V,GCS = 0.9A/V, COUT = 47µF,有RCOMP = 178kΩ,我们选择 180kΩ。
转换器的负载极点
位于141Hz,于是有
,我们选择6.8nF。
输出电容的0.36Ω的ESR导致的ESR零点位于9.4kHz,从公式
可求得CP = 95pF,我们选择100pF。
图18显示的是室温下转换器对负载阶跃的响应,快速变化的负载在250mA和500mA之间跳变。
|
在25oC下的4ms负载阶跃,RCOMP*CCOMP的时间常数导致VOUT的恢复时间大约为3ms
|
80µs的负载阶跃显示了输出电容的ESR所导致的VOUT下降幅度
|
展开以后的波形让我们确认电压的下坠是由ΔILOAD*ESR引起的(250mA*0.36Ω = 90mV)
|
|

|

|

|
图18
如先前提醒的那样,电解电容的ESR与温度有很大的关系,它在低温下会变得很高。图19显示的是-20oC环境下的阶跃响应特性:
|
-20oC下的4ms阶跃:纹波增加了。
|
-20oC下的80µs阶跃:不稳定现象出现。
|
展开以后的波形显示出电压下坠的幅度为ΔILOAD*ESR = 316mV,因而ESR = 316mV/250mA = 1.26Ω。
|
|

|

|

|
图19
很显然,在低温下的转换器是不稳定的。实际发生的事情是低温下增加了的输出电容ESR将调制电路的ESR零点移动到了很低的频率上,大约为2.6kHz,这就增加了调制器的高频增益并使得控制回路的带宽增加,而相位裕量就变得不足了。
为了解决这个问题,补偿元件的参数需要做些调整。你可以增加CP的值,但这样会降低室温条件下的相位裕量。比较好的做法是通过减小RCOMP使所有情况下的转换器带宽都降低,这样可以使高ESR(低温)和低ESR(高温)情况下的相位裕量都最佳化。
在此例中,我们将带宽降低3倍至大约13kHz,于是有RCOMP = 68k,CCOMP = 15nF。在室温下的ESR = 0.36Ω,由此算得CP = 250pF,我们取270pF。图20显示的是调整后的结果,无论是高温下还是低温下,由阶跃负载带来的响应看起来都很好。
|
+25oC环境下的负载阶跃
|
-30oC环境下的负载阶跃
|
+70oC环境下的负载阶跃
|
|

|

|

|
图20
· 软起动的设计:对于拥有47µF 输出电容的12V应用来说,过快的VOUT上升速度能导致一定的冲击电流。为了将VOUT上升过程导致的冲击电流限制在100mA以内,上升时间必须大于47µF*12V/100mA=5.6ms。因为
,所以必须CSS大于42nF,我们选择47nF,这将导致8.6ms的软起动时间,VOUT从0上升到12V的时间为6.3ms。
|

|
图21显示了该12V输出电路的软启动过程。
|
|
图21
|
|
· 自举电容的外部充电电路
假如转换器的输入电压有可能低于18.5V,外部自举电源的加入就是必要的。自举电路电源的最佳电压为3.3V,更高的电压如5V将导致太强的上桥MOSFET驱动能力,这样可能导致噪声的引入和某些情况下的不稳定开关切换过程。3.3V自举电路电源的生成可以用类似5V输出案例中的齐纳二极管钳位电路来完成。
由于自举电路的平均充电电流需要1mA,齐纳二极管的偏置电流需要1.5mA,限流电阻R3的值大约为(12V - 3.3V)/2.5mA = 3.5k,我们选择3.3k,其上的总功耗为(2.5mA)2 * 3.3kΩ = 20mW,小型封装的SMD电阻即可满足需要。具体的电路见图22。

图22
图23所示的是12V的转换器在输入电压降低以后工作在最大负载下的状况。RT6204的最短截止时间大约是200ns,这个参数决定了它的最高占空比约为93%。RT6204进入最大占空比状态的输入电压与负载电流有关,这是由MOSFET开关的I*Rdson压降和电感器的I*DCR压降一起共同决定的,这些压降在0.5A负载下的数据约为0.66V。所以,12V输出应用的直通模式大约开始于输入电压等于12V/0.93 + 0.66V = 13.56V的时候。
|
VIN = 15V,VOUT = 12V,占空比约为80%
|
VIN = 13.3V,VOUT = 12V,刚好触及最大占空比
|
VIN = 10.1V,处于占空比最大化的直通模式,VOUT = 9.06V
|
|

|

|

|
图23
最后形成的12V输出转换器的应用电路如下图24所示。

图24
6.案例4:24V输出
第4个案例是关于24V输出的转换器,输入电压范围仍然很宽。
· 与12V输出的案例一样,24V输出的转换器的最高输入电压由RT6204的最高输入电压参数决定。假如输入电压可能低于37V,RT6204的占空比就有机会高于65%,这时候就需要使用外部自举电容充电电路。
· 反馈网络:使用公式
可以完成R1和R2的计算,我们的选择是R2=10k、R1=290k。
· 电感量:对于24V的输出,只要输入电压低于48V,占空比就会大于50%。所以,对于宽输入电压的应用需要考虑到斜率补偿对电感量最小值的需要。斜率补偿的要求是
,这要求电感量要大于400µH。
在60V输入的条件下用公式
计算电感量,30%的纹波要求电感量为L = 274µH。两相对照,我们需要使用斜率补偿的要求选择电感参数。所以,我们选用470µH的电感用于设计中,具体的选型是Bourns 公司的型号为SSR1240-471的屏蔽电感,它具有0.6A的饱和电流参数和1.35Ω的直流电阻。
· 输出电容的选择:对于24V的应用来说,MLCC陶瓷电容实在不是一个合适的选择,因为它们在这样的电压偏置下的容量衰减实在是太大了。为了在这样的电压下得到足够容量的电容,你需要使用很大尺寸的50V电容,其成本将会非常高。
小型贴片封装的铝电解电容是更合适的选择。在12V输出的应用中,我们使用了47µF、35V、 6.3mmX5.8mm规格的电容(Panasonic VFK系列),它们具有0.36Ω的ESR,可以承受240mA有效值的纹波电流,我们可以考虑把它用在此24V的应用中。
有了基础的数据,我们就可以计算PSM模式和CCM模式下的输出电压纹波了。对于24V的输出来说,RT6204在PSM模式下的峰值电流基本上就是由器件本身确定的150mA电流限制值,由延时给它带来的影响是比较小的。在CCM模式下,由470µH电感所带来的电流纹波大约为88mApp。
两种模式下的纹波计算公式如下:

在输入电压为60V、输出电容为47µF并具有0.36Ω ESR的条件下,计算所得的PSM纹波约为62mVpp,CCM纹波约为32mVpp。
因此,我们在此24V输出的应用中所选定的输出电容就是47µF/35V 6.3mmX5.8mm的电解电容,它的ESR数据为0.36Ω。
图25显示的是使用电解电容作为输出电容以后的电路在PSM和CCM模式下的输出纹波测量结果。需要给出的建议是要给输出电容并联一只小型的100nF/50V陶瓷电容,它的低ESR特性可以将开关切换过程导致的高频噪声予以滤除,但它不会有降低纹波幅度或是提高转换器稳定性的效果。
|
使用电解电容以后的24V输出端PSM纹波,幅度为82mVpp
|
使用电解电容以后的24V输出端CCM纹波,幅度为38mVpp
|
|

|

|
图25
· 输入电容的选型:24V输出应用的输入端纹波会比前述案例的高,这是因为它的功率等级更高。
在12V输出的应用中,我们选择一只100nF/100V 0603 X7R 电容 (Murata GRM188R72A104KA35)和两只2.2µF/100V 1206 X7R 电容 (Murata GRM31CR72A225KA73)并联作为输入电容,它们合成以后的实际容量为1.5µF。如果选择同样的电容组合作为此应用的输入电容,在60V输入电压、0.5A输出的情况下,由公式
将得到229mVpp的输入纹波结果。考虑到电磁兼容性的需要,再给它增加一只2.2µF/100V 1206 X7R电容和一只高频磁珠是有必要的。
|

|
图26显示的是在输入电容有效值为同样的1.5µF的情况下实际测量到的输入端电压纹波表现,其结果为230mVpp的锯齿波,测试条件为输入电压60V、负载0.5A。
此24V应用中流过输入电容的纹波电流有效值的最大值出现在条件为VIN = 48V、负载电流0.5A时,其值为0.25A,这个结果对于所选用的输入电容来说不是问题。
|
|
图26
|
|
· 补偿元件的参数计算
在12V输出的应用中我们已经知道,随温度变化有很大变化的电解电容的ESR可以将转换器的稳定性问题变成一个大问题。假如我们现在的转换器也要工作在很低的温度下,我们就必须将ESR放大3倍来进行考虑。一旦考虑到这一点,转换器的带宽就必须在标准带宽0.1*FSW的基础上降低三倍。所以,我们将在24V输出的应用中使用与12V输出的案例一样的带宽,用12kHz替代35kHz。
我们同样使用在第2章给出的公式来计算补偿元件的参数,计算中将使用COUT = 47µF和其ESR = 0.36Ω的数据。
由公式
和 GmEA = 970µA/V、GCS=0.9A/V、COUT = 47µF,我们有 RCOMP = 124kΩ,我们选择120kΩ。
转换器的负载极点
位于71Hz处,因此
,我们选择18nF。
我们使用室温环境下的输出电容ESR数据来计算CP:由0.36Ω的ESR数据可以得到ESR零点位于9.4kHz,利用公式
可得CP = 136pF,我们取略微大一点的值150pF。
图27显示的是负载跳变在250mA和500mA之间进行的阶跃响应,三幅图分别显示的是在+25oC环境下进行的较长负载脉冲的响应和分别在-30oC和+70oC环境下进行的短负载脉冲的响应
|
+25oC下的12ms负载阶跃
|
-30oC下的120µs负载阶跃
|
+70oC 下的120µs负载阶跃
|
|

|

|

|
图27
· 软启动设计:为了让使用47µF输出电容的24V输出应用的冲击电流低于100mA,输出电压VOUT的上升时间应当大于47µF*24V/100mA=11ms。由公式
,CSS应当大于82nF,我们选择100nF,由此导致的VOUT从0上升到24V的时间是13ms。
|

|
图28显示了24V输出转换器的软起动过程的表现。
|
|
图28
|
|
· 外部自举电容充电电路的设计
假如转换器的输入电压可能低于37V,外部自举电路电源的加入就是必要的,此电源的电压最好是3.3V左右,更高的电压如5V将使得对上桥MOSFET的驱动能力太强,这会引入噪声并在某些情形下导致不稳定的开关切换过程。3.3V的电源可以从24V输出获得,这需要像12V输出的案例那样使用齐纳二极管。
由于自举电容的平均充电电流需要1mA,齐纳二极管的偏置电流需要1.5mA,电阻R3的值应为(24V-3.3V)/2.5mA=8.2k,它的功率消耗为(2.5mA)2 * 8.2kΩ = 51mW,这需要用稍微大一点的SMD电阻来承担。

图29
图30显示的是工作在最大负载下的24V输出转换器在输入电压下降时的情形。由于RT6204具有的约为200ns的最短截止时间的缘故,这导致它的最大占空比约为93%,但到底输入电压下降到多少才会使之进入最大占空比状态却是与负载电流有关的,由MOSFET的I*Rdson压降和由电感造成的I*DCR压降的影响必须被考虑在内。对于0.5A负载的24V应用来说,这个数据约为0.98V。所以,当负载电流为0.5A时,24V输出的转换器开始进入最大占空比的直通状态的输入电压大约为24V/0.93 + 0.98V = 26.8V。
|
VIN = 33V,VOUT = 24.2V,占空比约为75%
|
VIN = 27.3V,VOUT = 24.2V,刚好进入最大占空比状态
|
VIN = 25.2V,最大占空比状态下的直通状态,VOUT = 22.2V
|
|

|

|

|
图30
最后形成的24V输出的应用电路见图31。

图31
7.总结
Buck转换器RT6204可被用于宽输入电压的环境中,其输出电压范围也很宽。由于使用外部补偿电路和可调的软起动设计,可以根据其选用的输出电容类型进行设计的优化。只需要使用简单的公式即可对其关键外围元件参数进行计算,而实际测量的结果和计算所得的结果具有非常好的一致性。